本来说今天中午要写一prml,但是第一章快读完了,可是回头再一看最大后验概率,很多东西像没看一样,于是再抓起来做导图。
上次简略地提了下贝叶斯学派和频率学派的区别,接下来就细说一下这两派的不同的作法。
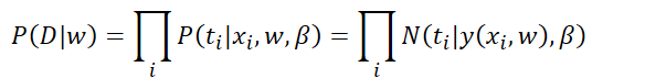
对于频率学派来说,既然把整个模型的参数看作固定的,那么要做的事情就是去估计这个参数,而一个非常常用的方法就是最大似然估计。
假设我们现在有一个曲线拟合问题,也就是说,我们有一堆相互对应的(x,t)(与书中符号一致,这里的目标值写做t而不写做y),我们希望使用通过这一堆值,去寻找到一个两者之间对应的确定关系。
首先确定一点,这些样本不会完全拟合到一个函数的(如果安全拟合的话,那就是一个矩阵或者多项式求解问题了),对于拟合不了的原因,一般使用高斯来进行捕获,即我们认为数据在整体上上符合一个给定的规则的,不能完全符合是出于设备的抖动之类的原因,将这些原因使用高斯分布来建模。
得到的结果差不多是这样:

对于一个样本点而言,给定x的情况下,目标值大致出现在红线周围,并以高斯分布围绕以对应的y(x0,w)为均值。

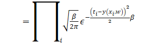
其中β是所谓的precision,其值即等于方差的倒数。
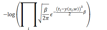
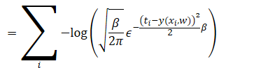
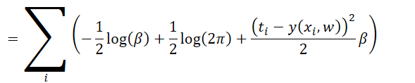
在建立模型之后,我们使用最大似然估计,也就是说我们要使得


如果我们想

我们同样可以通过:

那么:



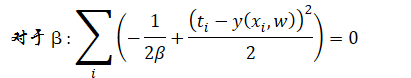
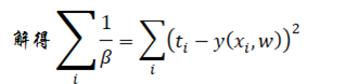
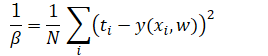
在上式中注意xi和ti是书籍量,我们的目标是求上式的极佳,上式是关于β和w的函数分别对于这个未知量求导,并令其为零。






