-
人到三十
或者是因为这个年纪更好, 却也更老了。 所以今年的生日过得非常的沉默, 除了两个朋友之外,其他人也都不记得了。 当然自己最近这种人畜勿近的样子, 记得和不记得也都一样。 时间笔记记到第十二篇, 确实感觉时间感比之前好了很多, 一天能做多少事情,一周能做多少事情。 前阵子有次在路上冥想,觉得时间笔记就是一种在时间中的冥想,时间变成一个连续体, 不再有一天天的间隔, 只有一个时间段一个时间段的区分。 […]
-
VIM latex书写环境配置
用vim有一个好处, 就是任何的编辑工作全部可以用它来解决, 一个用IDE的人在学一门语言的时候第一反应是找一个这门语言的IDE,而用vim的人在学一门语言的时候第一反应是去github找几个最好用的插件。 记录一下自己的vim环境配置。 首先说下背景, 电脑为mac环境, 使用brew进行包管理。 vim为brew安装的macvim, 版本为8.0.136, 使用vim-plug来进行插件管理。 […]
-
Word embedding综述与回顾(之一)—word2vec模型与PMI分解
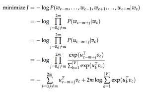
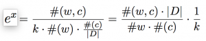
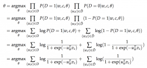
适合读者:对word2vec有概念上的了解, 希望有细节上的掌握以及更深一步理解的研究人员, 工程师。 早先和人聊天,曾经聊过一次自然语言方面深度学习方法的发展和影响, 虽然从word2vec之外,nlp的神经网络方法也已经成为业界的主流, 但是与图像, 语音等领域相比, 始终还是差点意思,christopher maning在CS224N中提到语言是不同于图像, 语音的信号系统, 可以认为是一种 […]
-
我是堂吉诃德—-同名话剧观后
最近写东西每每写到一半, 无法下笔。 知道那些想说的话没人在意。 也知道人在时间中, 渺小如尘埃。 世界自有它运转的法则。有些东西, 现在被践踏着, 过去被践踏过, 将来, 还将继续被践踏。 近三个月来第一次出门看话剧。 朋友推荐了一部堂吉诃德。 早年记得课本中提到这本书时一句带过, 说这本书的主旨是讽刺当时年轻人沉没于不切实际的骑士小说云云。 然而当时就不以为然,从来不信一本名著, 而且只用来讽 […]
-
最后一篇
当然不是博客的最后一篇, 只是最后一次写一个人。 昨天做了一个梦, 梦里体验到对对方的感情, 失望, 心凉, 戒惧, 被算计后的释然。 梦不说明现实, 只是说明自己的心境变化。 对这个人, 没有什么好遗憾的。 只是遗憾当时我曾经那样的喜欢过那个人。 即使那么强烈而疯颠。 只是再度证明, 没有雕琢的美只会刺伤人。 五年前曾经得出的结论, 什么时候就给忘了。 人果然会不断地回到最初的幼稚里去。 早前把 […]
-
归来的瘦子
前阵子, 好友告诉我, 你的博客如果觉得还好,就还是续起来吧。 仔细一看, 才发现自己已经有大半年没有写东西了, 最后一篇文章, 写于16年8月份。 其实不是, 中间也写过几篇文章, 不过借以书怀的多, 于人有益的少。 再加上都是感情, 一地鸡毛, 不如沉默。 昨天晚上发生了很多事, 又是一地鸡毛的状态,我是种飞蛾扑火的性格, 只爱那种天雷交地火的感情, 让我去做冷静的狙击手,其实会觉得有些无趣。 […]
-
星系中的芙蓉花
读了一个月的人类简史终于读完了. 此刻我坐在守一堂的桌前, 一抬头, 高德纳, 罗杰斯, 辛顿, 埃克曼四位先贤的画像张贴在墙上, 两位是计算机科学家, 两个是心理学家, 正应着人类简史最后一章的主题, 在面对未来可能出现的科技革命前, 人类真的准备好了么? 地外文明的发现? 人工智能的崛起? 永生的日渐逼近? 这里面每一件事情, 都在完全挑战着人类的认知, 从农业革命到信息革命, 科技以指数加速 […]
-
杂感
母亲走后, 拉了三天的keep又拾了起来, 继续两点一线的生活, 偶尔会有朋友来家中看电影, 顺便抱怨下家中缺乏各种生活用品, 不宜待客. 上一个百天计划应该是去年前半年的事情了, 百天计划虽然完成, 但是最重要的目标却没有达到. 人的认知和健身一样, 你要是努把力, 拼一下, 就算体育课不及格, 跑六七公里都未必无法完成, 可是心理上, 如果你从来没有完成过这样的事情, 那对你来讲就是陌生的, […]
-
我只想记录这样的瞬间.
二十分钟前, 母亲听完我对自己躁郁症症状的描述后, 讲了一通要给我找相亲对象的主题之后告诉我: 无论你做事成与不成, 始终记得, 我和你爸永远在这儿, 什么时候都可以回来. 十分钟前, 亲生好朋友某君看到我的朋友圈后发了首歌给我. 五分钟前, 告诉一个朋友, 我的躁郁倾向也和你一样, 有些方法有时会反弹, 那是时间环境和剂量的问题, 但是work的方法总会work, 我们一起努力变好. 是的, 我 […]
